Notice
Recent Posts
Recent Comments
Link
| 일 | 월 | 화 | 수 | 목 | 금 | 토 |
|---|---|---|---|---|---|---|
| 1 | ||||||
| 2 | 3 | 4 | 5 | 6 | 7 | 8 |
| 9 | 10 | 11 | 12 | 13 | 14 | 15 |
| 16 | 17 | 18 | 19 | 20 | 21 | 22 |
| 23 | 24 | 25 | 26 | 27 | 28 | 29 |
| 30 |
Tags
- C 언어 코딩 도장
- buffer
- 메모리구조
- Selection Sorting
- s
- 알기쉬운 알고리즘
- Graph
- R
- 윤성우의 열혈 자료구조
- C programming
- insertion sort
- 혼자 공부하는 C언어
- JSON
- list 컬렉션
- Serialization
- coding test
- 윤성우 열혈자료구조
- 이것이 자바다
- 이스케이프 문자
- datastructure
- stream
- Algorithm
- Stack
Archives
- Today
- Total
Engineering Note
알고리즘 본문
KOCW 알고리즘(명지대 이충기교수님)
알고리즘
문제 해결을 위한 단계적인 절차
알고리즘 작성법
- 인간의 자연어(한국어, 영어)로 작성
- pseudo code(의사코드)로 작성
- 순서도로 작성
알고리즘에서 특정 문장의 수행 횟수를 계산하기 위해 필요한 3가지 식
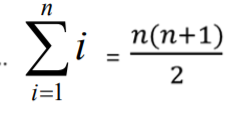
1.

2.

3.

1번 식의 사용 사례

- i가 1일 때 1번, 2일때 2번, 3일때 3번, 4일때 4번 수행 ... n일때 n번 수행 -> 총 (1+2+3+4+...+n) 번 수행
'Computer Science > Data Structure & Algorithm' 카테고리의 다른 글
| List (0) | 2021.02.24 |
|---|---|
| 알고리즘 효율성 분석 (0) | 2021.02.19 |
| 분할정복 알고리즘 (0) | 2021.02.14 |
| Quick Sort (0) | 2021.01.31 |
| Insertion Sorting (0) | 2021.01.09 |
Comments